![]() |
1. ‘소득주도성장론’의 등장과 확산
2008년 세계적인 금융위기 이후, 점증하는 삶의 위기에 대항하기 위한 다양한 대안들이 쏟아졌다. 심지어 일부 보수언론에서도 ‘자본주의 4.0’이라는 말을 대대적으로 선전하였다. 신자유주의가 몰고 온 파괴적인 결과에 대해서 지배계급조차 외면할 수 없는 상황에 직면한 것이다. 심지어 이러한 인식의 변화는 지난 대선에서 박근혜 후보로 하여금 ‘경제민주화’를 차용하도록 만들기도 했다. 이와 함께 복지국가, 협동조합 등등의 대안담론들이 대중적으로 확산되었다. 작년엔 피케티라는 세계적 인물이 혜성처럼 등장하여 부의 불평등문제를 두고 열띤 논쟁들을 주도했다. 이를 계기로 가계와 기업의 소득격차, 노동생산성을 따라가지 못하는 실질임금, 상위 1%가 차지하는 소득비중 등등이 신문지상에 심심치 않게 등장했다.
이런 대안담론들과 불평등에 대한 문제제기가 확산되는 가운데 ‘소득주도 성장론’도 역시 몇몇 연구자들과 정치인들 중심으로 수년 전부터 제기되기 시작했다. 더 이상 기존 방식으로 성장패턴이 사라지고, 갈수록 불평등이 심화하는 상황에서 “분배를 통한 성장”이라는 새로운 성장담론이 등장한 것이다.
한국노동연구원은 2012년 10월 ‘임금주도성장론’에 관한 국제적 이론가들을 초청해 대규모 토론회를 개최했었다. 그리고 ‘새사연(새로운 사회를 여는 연구소)’에서 2013년 초 ‘소득주도성장론’의 핵심을 정리한 글을 발표했는데, 이것은 국제적으로 ‘임금주도성장론’이라 불리는 것을 요약한 내용이었다.
2013년 8월 14일 옛 민주당 노동-임금 TF(은수미,김경협,김기준,김용익,박민수,홍종학 의원)에서 국제노동기구(ILO) 근로기준국 연구조정관을 초청해 '소득주도 성장의 가능성과 함의'를 주제로 발표회를 열었다. 여기서 공평한 분배로 양극화를 해소하고 안정적인 성장을 이끌어 나가는 경제성장 모델이 제시되었다. 그리고 최근 “노동 있는 복지국가”라는 프레임과 함께 복지국가 논쟁 2라운드를 주도하고 있다. 그 후로도 이러한 성장론은 최저임금 인상과 노동기본권 강화를 주장하는 여러 사회단체의 주장에서도 자주 등장하기 시작했다.
이렇게 급작스레 ‘소득주도성장론’이 대안으로 거론되는 이유는 아마도 분배 정책을 강조하는 입장에서 볼 때, 구체적인 이론적 쟁점과는 별도로 그 자체로 상당히 매력적이기 때문이다. 우리나라에서 그동안 복지정책과 같은 분배요구에 대한 우파들의 비판은 언제나 “파이를 키워야 나눠줄 것이 있다”는 논리였다. 그런데 ‘소득주도성장론’은 임금을 높여야만 경제성장이 제대로 될 수 있다는 논리를 갖고 있어서, 우파들의 이데올로기적 공격에 효과적으로 방어할 수 있다. 이 점 때문에 소득주도 성장론이 정치적 활용 측면에서 강력한 효과를 가지고 있음은 부인할 수 없다.
그리고 마침내 ‘소득주도 성장론’은 공히 새누리당과 새정치민주연합의 양대 정치세력의 대표들 입에 오르면서 언론의 스포트라이트를 받기 시작했다. 새정치민주연합은 지난 4월 정책엑스포에서 이것이 자신의 정책대안의 중심임을 선언했다. 심지어 작년 최경환 경제부총리는 “가계소득 중심의 내수부양”을 강조했고, 올해 최저임금의 대폭 인상 필요성을 언급하기도 했다. 또한 유승민 새누리당 원내대표는 4월 국회연설에서 “소득주도형 성장, 포용적 성장...이 새로운 변화를 진심으로 환영”한다고 밝히기도 했다.
그러나 ‘경제민주화’ 담론이 ‘자영업자들의 골목상권 지키기 문제’로 협소화 된 것처럼 ‘소득주도 성장론’이 실제 현실에선 어떻게 왜곡될지 이에 대한 많은 우려 또한 존재한다. 최경환 부총리가 말한 가계소득엔 부자들의 배당도 포함되는데, 아니다 다를까 사내유보금을 겨냥한 ‘기업소득환류세제’ 대책은 올해 사상 최대의 배당잔치를 낳고 있다. ‘소득주도 성장론’의 우파적 버전들도 생겨나기 시작한 것이다. 이것은 이미 ‘임금’을 ‘소득’이라는 간판으로 바꾸면서 예견된 일이기도 하다. 왜냐하면 자영업자 비율이 높은 우리나라에서 임금을 소득이라 바꾸는 것은 외연을 확장하려는 의도라고 해석할 순 있으나, 반면 소득이 포괄하는 영역이 매우 넓어 주주배당이나 부동산 거래 차익처럼 자본소득까지도 ‘가계소득 안정화’ 대책으로 둔갑될 수 있기 때문이다.
한편 이런 왜곡된 우파적 버전을 비판하면서 “제대로 된 소득주도 성장론”을 외치고 있는 다른 한쪽에선 “합의의 정치”가 ‘소득주도 성장론’의 핵심이라고 주장한다. 그 이유는 이 이론을 처음 제기했던 포스트-케인지언들1의 경제정책의 핵심이 ‘사회적 합의’에 있기 때문이라는 것이다.
"1970년대 로빈슨이나 칼레츠키 등 ‘케임브리지 케인지언’들(포스트 케인스주의의 창시자들)이 적극적으로 옹호한 소득정책은 현재 소득주도성장론의 원형이다. 해서 포스트 케인지언들은 노동조합의 강화뿐 아니라 고용주 연합(예컨대 대한상공회의소)의 단결을 통한 중앙교섭을 지지한다. 당시에는 인플레이션에 대해서, 그리고 지금은 ‘장기 침체’에 대해서 노동자와 고용주, 정부가 사회적 합의를 해야 한다. 바로 유승민 원내대표의 연설에 나오는 ‘합의의 정치’, ‘여야의 합의기구’야말로 포스트 케인지언 경제정책의 핵심이다.” -(정태인, <세 정치인의 소득주도성장론>, 시사인 2012.4.21.).
이와 더불어 “사회적 합의에 의한 생산성임금제 도입”, “대기업의 사회적 책임 강화”, “공생과 협동의 산업생태계 조성”, “중소기업 소상공인 사업보호 및 협업화”, “이익공유제” 등등을 정책과제로 제기하기도 한다. -(홍장표, <포용적 성장과 소득주도 성장론> 토론회, 2015.05.22)
그러나 과거 노사정 대타협론의 굴절된 역사에서 경험했듯, 사용자 편에선 정부의 논리가 일방적으로 관철된 역사였다. 2대1의 힘의 논리 앞에 우리가 할 수 있는 건 발악을 통한 수세적 방어 수준에 머물렀었다. 힘의 관계가 비대칭적으로 역전되어 있는 현실에서 사회적 대타협은 공염불에 불과하다. 현재 민주노총은 물론이거니와 한국노총마저도 노사정 테이블을 차고 나온 상황이다. 지금도 박근혜 정부가 말하는 “사회적 대타협”은 연금개악과 노동시장 구조개악을 위한 도구로만 활용되고 있다.
현재 이름에 어울리는 타협은 의회에서 여당과 야당의 서로 주고받는 게임 밖에 없다. 또한 그 주고받는 정책들이 대기업의 사회적 책임을 강화하거나 중소기업간 협력을 증진시키고 이익을 공유하는 수준이라면, 우리가 기대했던 수준과는 상당히 떨어져 있다고 볼 수밖에 없다. 빈 수레만 요란했던 지난 MB정부 시절의 녹색성장과 현 정부의 창조경제 정책들을 떠올릴 수밖에 없는 수준이다.
이처럼 ‘소득주도 성장론’을 두고 여러 진영에서 분출되는 다양각색의 목소리들은 과연 ‘소득주도 성장론’이 무엇인지 그 허와 실을 제대로 이해하는데 혼란함을 주고 있다. 정치적 입장에 따라 특정한 담론을 과장하기도 한다. 또는 필요한 상징을 차용하기도 한다. 가장 대표적인 것이 ‘최저임금’과 ‘소득주도 성장론’의 연계이다. 그런데 ‘소득주도성장론’에서 말하는 성장은 자본의 성장, 즉 자본축적으로 말하는 것이다. 소득증대로 수요가 증가하여 투자와 고용이 늘어나 경제발전의 선순환을 일으킨다는 것이 이 이론의 요지이다. 그래서 이론의 핵심쟁점은 소득주도 방식으로 장기적인 자본축적 체제가 안정적으로 구축될 수 있는가에 있다. 그래서 소득증대가 자본축적에 어떤 영향을 미치는가에 대한 이론적이고 실증적인 연구에 대한 심도 깊은 논쟁을 포함하고 있다. 그러나 아직까지 우리나라에선 이런 성장론에 대한 실증연구가 미진하고, 외국에서 발표한 통계결과에 의존하고 있다. 그러다보니 분배적 측면에서 정치적인 활용이 주를 이루고 있는 것이다.
그런데 한편에서 보면, 이런 정치적 활용에 대해 조목조목 반대할 이유는 딱히 없다. 왜냐하면 이익을 사회화 시키도록 공평한 분배를 요구하는 것은 그 자체만으로도 타당하기 때문이다. 이 이론대로 소득분배를 증가시켰음에도 불구하고 자본성장이 정체되거나 하락한다면 과연 분배를 요구하는 주장은 폐기되어야 하는가, 그렇지 않을 것이다. 이익을 사회화하자는 우리의 주장은 손실을 감내한 대가이자 재생산을 보장하기 위한 전제이다. 그렇기 때문에 자본성장과 축적의 문제가 분배를 요구하는 걸 결정짓는 요인일 순 없다. 적절한 분배를 통해 삶의 위기를 해결하고 재생산의 기초를 닦는 것이 GDP 성장률에 종속될 이유는 전혀 없는 것이다. 이러한 관점에서 ‘소득주도성장론’이 주는 의의와 한계를 짚어야 할 것이다.
2. 소득주도 성장론의 내용들
먼저 ‘소득주도성장론’의 핵심을 정리해 보자. 아래 표에서 보듯 기본적인 분석 틀은 이윤주도와 임금주도라는 두 가지 경제체제이며, 성장전략은 이런 경제체제들과 효과적인 조합을 이루는 분배정책이 구성이다.
![]() |
[출처: Lavoie, Stockhammer, <임금주도 성장론: 개념, 이론 및 정책> 국제노동프리프 2012년 12월호,한국노동연구원] |
그래서 이윤주도에 의한 성장체제는 친자본적 성장분배정책을 가져야 하며, 임금주도에 의한 성장체제는 친노동적 성장분배정책을 가져야 한다는 것이다. 그러면서도 현실은 임금주도 성장체제가 일반적인 형태라서 많은 나라들이 친노동정책을 취하는 것이 옳다고 주장한다. 그럼에도 불구하고 현재 대부분의 나라들이 신자유주의적인 친자본적 분배정책을 취하고 있기 때문에 불안정한 경제성장과 위기가 반복되고 있다고 진단한다. 그러면서 과거 친노동적 정책을 취했던 50-70년대 ‘사회적 케인즈주의’(전후 자본주의 황금기) 시대를 제대로 된 정책조합의 예로 들고 있다.
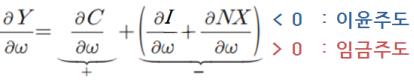
그러면 어떤 경제체제가 임금주도인지 이윤주도인지를 가려야 하는데 그에 대한 이론적 분석은 다음과 같은 거시모델에서 출발한다.
총수요 Y는 소비C, 투자I, 순수출(수출-수입)NX, 정부지출G의 합인데 정부지출은 제외한 변수들은 임금분배율 w 영향을 받게 된다. 순수출의 경우는 상대적 수출가격을 통한 임금분배율의 가격효과가 있다고 본다. 여기서 임금분배율 w에 대한 증감율을 따져서 총수요의 증가율이 영보다 작으면 이윤주도 성장체제이고 영보다 크면 임금주도 성장체제라고 정의한다. (아래 식은 위 식 양변을 임금분배율 w에 대해 미분한 식이다.)
![]() |
이들의 분석에 따르면 이윤주도 성장은 이론적으로 가능하거나 혹은 일부국가들에 해당하는 예외적 체제이고, 현실 경제체제는 임금주도에 의해 이뤄진다는 것이다. 하지만 전 세계적 차원에서 “임금주도 성장”이 실현되려고 하면, 국가들 간의 집단적인 정책 조율이 필요하다. 이것이 ‘소득주도성장론’의 주요한 세계 정치적 제약요인이며 일국론적인 소득주도성장의 잠재적 한계를 보여준다. 이런 점 때문에 일각에서는 “글로벌 케인지언 뉴딜”이 필요하다고 주장한다.
![]() |
▲ 단일 방정식 패널 추정. 자료와 추정기법에 대한 자세한 내용은 Onaran and Galanis(2012) 참조. [출처: 이상헌(2014), <소득주도성장: 이론적 가능성과 정책적 함의>, 사회경제평론 43호] |
그러나 이런 통계적 분석에 대해서 그동안 다양한 연구들이 있었는데, 연구자들마다 분석시기 마다, 추정방법마다 상이한 결과들이 도출되어서 아직 통일된 결론을 찾긴 힘들다. 가령 앞의 막대그래프와 뒤의 표에 나오는 프랑스의 경우에 하나는 임금주도로 나오고 다른 하나는 이윤주도로 나온다. 대표적인 임금주도 경제체제로 분류되는 미국도 아래 표에선 이윤주도이거나 또는 관계가 뚜렷하지 않다고 나온다. 이 이론의 대표적인 연구자인 Onaran의 연구결과도 마찬가지인데, 미국이 임금주도 경제체제라고 실증하면서도 금융 부문의 이윤 증대가 부의 효과(wealth effect)에 의해 총수요를 확대시켜 임금주도성이 약해질 수 있음을 보여주기도 한다. 우리나라에 대한 분석은 많이 되어 있지 않으나, 최근 몇몇 연구결과에 따르면, ‘강한’ 임금주도를 주장하는 연구결과(홍장표(2014))와 ‘미약한’ 임금주도를 주장하는 연구결과(주상영(2014))가 나뉘어져 있다.
![]() |
[출처: 고민창, 이상헌(2013) <정부의 금융시장 개입이 자본 축적 경로에 미치는 효과: 포스트 케인지언 분석>] |
‘소득주도 성장론’의 주장을 좀 더 깊이 들어가 보면, 2008년 경제 위기의 원인진단에 대한 몇 가지 특징을 발견할 수 있다. 핵심은 소득의 불평등과 금융의 탈규제이다. 여기서 말하는 소득의 불평등은 국민소득을 임금과 이윤으로 나눠볼 때 임금이 차지하는 몫인 임금분배율의 하락을 의미한다. 임금분배의 하락은 국내 총수요를 떨어뜨리게 만드는데, 이에 대한 대응책으로 ‘부채주도의 성장’과 ‘수출주도의 성장’이 등장한다는 것이 이들의 논리다. 쉽게 말해 빚으로 모자란 소득을 채워 성장하는 방식과 소득이 부족해서 국내에서는 팔수 없으니 수출을 장려해 해외에 내다판다는 것이다. 우리나라의 모습을 생각하면 이해하기 쉽다. 가계부채로 내수를 충당하고 있고, 수출의존도가 높아 국민 총소득 대비 수출입 비중이 100%를 넘었다. 또한 금융부문의 탈규제로 인해 고삐 풀린 금융시장이 급격히 팽창하였는데, 이것이 ‘부채주도의 성장’과 맞물려 2008년 금융위기를 일으켰다고 진단한다. 이러한 주장은 2008년 금융위기의 직접적 원인이 된 서브프라임 모기지 연쇄파산을 목격했던 우리들에게 충분한 공감을 주기도 한다.
![]() |
[출처: Stockhammer(2012)] |
그래서 이들의 처방은 최저임금인상, 고용보장 등을 통해 임금분배율을 높이는 방식으로 노동정책을 바꾸어야 한다고 주장한다. 그러면 국내 총수요가 되살아나면서 더 이상 부채와 수출에 의존하지 않는 경제성장을 이룰 수 있다는 것이다. 일면 단순화시켜 정리한 바가 없진 않으나, 대체적인 주장은 금융을 규제하고 임금분배를 통해 구매력 있는 수요를 창출하여 이로 부터 경제성장의 선순환을 이룬다는 것이다. 흔히 알려진 케인스주의적인 처방과 비슷하다.
4. 소득주도 성장론에 대한 비판
1) ‘소득-임금->소비->투자->고용’으로 이어지는 선순환고리에 대한 의문들
언론에서 자주 소개되었는데 소득주도 성장론이 주로 비판받는 대목은 ‘소득-임금->소비->투자->고용’으로 이어지는 선순환고리에 대한 의문들이다. 먼저 소득과 임금의 증가가 과연 소비증대로 이어질지 대한 의문이다.
“무엇보다, 소득의 증가가 소비의 증가로 이어질 지가 분명하지 않다. 미래에 대한 불안과 노후 대비 등을 유로 소비지출 증가율과 평균소비성향은 계속해서 감소추세에 있다. 실제로 금융위기 이전인 2006년부터 2013년까지를 보면 가계의 소득은 31.6% 증가한 반면, 가계의 소비지출은 22% 증가에 그쳤다. 반면 조세, 연금, 사회보장 지출 등 비소비지출은 36.9% 늘었으며, 대출 상환 등 부채감소를 위한 지출을 포함하는 기타 지출도 47.2%나 증가하였다. 즉, 소득 증가가 바로 소비로 연결되지는 않고 있다는 것이다. 향후 경제에 대한 긍정적인 기대가 형성되지 않는 한 이 같은 추세는 더욱 강화될 것이다. 또한 소득의 증가가 투자의 확대로 연결될 지에 대해서도 의문이다. 임금을 올려서 소비가 증가하게 되면 재고가 소진되어 기업의 가동률이 오르고 이에 따라 기업이 투자를 늘림으로써 경제가 성장한다는 것인데, 이 같은 연결고리는 분명하지도 않고 또 상당한 기간을 요한다.”
-추광호 한국경제연구원 기획조정실장
다음으로 임금분배를 실행해야 할 기업에 관한 문제이다. 임금을 올리기 위해선 기업들이 그러한 행동을 취해야 하는데, 정부가 강제로 개별기업들의 임금인상을 올리도록 요구할 수 없는 현 상황에서 자발적인 임금인상을 바랄 수밖에 없는 한계가 존재한다.
"이 이론은 임금을 인상하면 구매력이 생겨 내수가 촉진되고 선순환 될 수 있다는 논리인데 문제는 이것은 정부가 할 수 있는 게 아니라 기업의 결심이 필요한 일이다. 그런데 지금은 기업을 움직이게 할 정부의 수단이 줄어들고 있다. 소득주도 성장론의 경우 '임금인상 → 가계소득 증대 → 소비·투자 확대 → 내수경기 활성화'로 이어지는 선순환을 주장하지만, 기업의 자발적인 참여를 이끌어낼 수 있을지, 일자리 창출이 가능한지에 대한 문제가 있다". - 안철수 새정치민주연합 의원
‘소득주도 성장론’의 기본모델의 핵심지표로 다루는 노동소득분배율의 “외생성” 문제가 제기된다.
“소득주도 성장론이 성립하기 위해서는 정책적이나 제도적 변화를 통해 노동소득 분배율이 변할 수 있다는 가정이 요구된다. 만일 노동소득 분배율이 기술이나 자본 또는 경제 개방성 등에 의해 “내성적”으로 변한다고 한다면, 노동소득을 증가시키는 정책적 개입을 통해 고성장과 경제안정성이라는 두 마리 토끼를 잡겠다는 소득주도 성장론은 불가능하다. 따라서 노동소득 분배율이 정책변수 내지는 제도변수임을 규명하는 것이 중요하다. 노동소득분배율의 하락을 둘러싼 논쟁에서 중요한 문제이다.“ - 이상헌 ILO연구원, <소득주도성장: 이론적 가능성과 정책적 함의>
2) 경제위기분석에 대한 비판
좀 더 깊이 있는 비판을 위해 앞서 언급한 이들의 2008년 경제위기 분석을 다시 살펴보자. 이들의 위기분석의 논리는 노동소득분배율의 하락이 국내수요부족을 가져왔고 이를 타개하기 각국 별로 ‘부채주도 성장’과 ‘수출주도 성장’ 방식을 취했다는 것이다. 그리고 이러한 성장체제의 불균형이 2008년 금융위기의 원인이었고, 이제 더 이상 이런 방식의 성장이 가능하지 않다는 것이 핵심논리이다.
그러면 이러한 위기분석에 대해서 다음 세 가지 질문을 확인함으로서 비판을 해보자.
① 노동소득분배율의 하락이 뚜렷하게 관찰되는가?
② 노동소득분배율의 하락이 수요부족을 낳고 자본성장의 침체를 불러일으켰나?
③ 노동소득분배율의 하락이 ‘부채주도 성장’과 ‘수출주도 성장’을 낳았는가?
① 노동소득분배율의 하락이 뚜렷하게 관찰되는가?
다음 그림은 주요 국가들의 노동소득분배율을 보여주는 자료이다. (가장 위에 있는 우리나라의 과대평가 된 수치에 대해서는 나중에 설명하기로 하고 여기선 논외로 하자.) 대체로 조금씩 하락하는 듯이 보인다. 그런데 가장 대표적인 임금주도형 국가라고 주장하는 미국을 보면 2000년 전까지 별다른 하락추세를 발견하긴 힘들다. 평탄하다. 일본과 독일도 80년대 하락했다가 90년대는 오히려 미약하지만 조금 개선되었다. 다만 2000년대에는 모든 나라가 뚜렷하게 하락하는 것이 관찰된다. 이처럼 전반적으로 2000년 전까지 뚜렷한 하락 추세를 단정하긴 힘들며, 그 양상도 중기적인 수준의 시기별로 다른 특징을 보인다.
![]() |
[출처: 주상영, 전수민(2014) <노동소득분배율의 측정>(OECD 방식)] |
다음 그림에서 미국의 비금융법인 임금분배율의 추이를 살펴봐도 비슷한 현상을 관찰할 수 있다. 전체 임금분배율은 평탄하거나 오히려 조금 상승했다. ‘소득주도 성장론’에서 주장하는 분배악화가 이 지표를 가지고는 관찰되지 않는다.
그런데 여기서 주목할 부분은 임금소득자내에서의 분배구조가 악화된다는 점이다. 가령 임금소득자 계층 중에서 경영에 깊이 관여하는 관리자나 전문기술인력들의 소득비율은 80년대 신자유주의의 개시와 함께 지속적으로 증가해 왔다.
![]() |
[출처: 뒤메닐, 레비(2012), <신자유주의 위기>] |
임금소득자 내에서 소득 분위별로 분석하면, 상위 5%(전문경영인)와 10%(전문기술인력)들이 가져가는 몫은 계속 커졌다. 이것은 임금소득을 핑계로 한 실질적 자본소득이 여기에 포함되어 있는 것으로 파악된다. 그러나 임금분배율의 총계적 추계에선 이런 구분이 잘 드러나지 않는다. 고위직 억대 연봉자들의 임금도 임금 몫으로 계산되기 때문이다.
이렇게 지표와 실제 경험적 현상의 괴리가 일어나는 건, 우리나라의 최근 자료에서도 관찰된다. 최근 3-4년간 노동소득분배율, 지니계수 등은 지표상으로 분배가 다소 개선되고 있음에도 불구하고, 피부로 느끼는 것처럼 실질임금 상승률은 계속 떨어지고 있는 추세다. 또한 영세자영업자를 중심으로 ‘생계형’ 가계부채가 큰 폭으로 증가는 것도 분배지표의 개선과는 거리가 먼 현상이다.
그러므로 노동소득분배율의 총계적 지표만 해석하게 되면, 그 결과를 구성하는 다양한 주체들의 계급적 분석을 간과하게 된다. 더구나 OECD방식의 노동소득분배율에는 임금노동자와 자영업자가 모두 포함되어 있어서 총계적인 지표의 결과만으로 어떤 원인을 분석하는데 제한적일 수밖에 없다. 또한 앞서 소개한 소득주도 성장론의 ‘우파적 버전’들이 비집고 들어올 틈을 만들어 줄 여지도 생긴다. 상위소득자의 몫의 증가도 노동소득분배율을 개선시키기 때문이다.
② 노동소득분배율의 하락이 수요부족을 낳고 자본성장의 침체를 불러일으켰나?
이것은 소위 ‘과소소비론’적 정세분세 대한 비판과 맞닿아 있다. 소비부족이 공황을 불러일으키는 원인이냐 아니면 그 반대냐는 오래된 논쟁이기도 하다. 이에 대한 미국을 대상으로 통계적인 실증연구를 했던 연구 결과는 노동소득분배율과 자본축적률의 인과성이 유의하지 않다는 것이다.
![]() |
[출처: 정상준(2012), <‘과소소비론’에 대한 실증적 비판>, 마르크스주의 연구 26호 2012년 여름호] |
이것과 유사한 결론은 몇 가지 직관적인 사실로 부터도 확인할 수 있다. 앞서 살펴본 OECD 통계자료에서 일본의 노동소득분배율의 변화를 살펴보자. 일본의 노동소득분배율이 크게 하락했던 80년대는 일본이 가장 잘 나가던 시절이었고 부동산 버블이 심각하게 일어날 정도로 경제가 크게 성장했던 시절이다. 그리고 90년대 노동소득분배율이 개선되는데, 이 당시 일본은 ‘잃어버린 10년’이라 일컬어질 정도로 매우 심각한 경기침체를 겪었다. 이것은 ‘소득주도 성장론’에서 주장하는 노동소득분배율의 하락과 상승이 각각 경기침체와 경기부양을 일으킨다는 것과 정반대의 결과이다.
독일도 마찬가지다. OECD 통계자료에서 독일의 노동소득분배율의 변화를 살펴보자. 일본과 마찬가지로 80년대 하락하고, 90년대 상승하고, 2000년대 다시 하락한다. 그러므로 독일을 ‘임금주도 성장체제’로 분류한다면, 80년대엔 경기침체, 90년대엔 경기회복, 2000년대엔 다시 경기침체를 겪어야 한다. 그러나 현실은 전혀 반대이다. 80년대 독일은 일본과 마찬가지로 경기가 호황이었다. 그러다가 90년대엔 통일비용에 따른 후유증과 고평가된 마르크화 때문에 수출경쟁력이 떨어져 제조업 공동화, 산업구조 문제를 겪으며 오랜 침체를 겪는다. 그리고 유로통화동맹을 계기로 2000년대 초중반부터 수출가격 경쟁력을 회복하고 유로존 시장통합의 효과로 지금까지 경기 호황을 맞고 있다. 심지어 2008년 경제위기 이후 유로존에서 유일하게 지속적인 성장을 하는 국가이기도 하다. 그렇다면 독일은 ‘임금주도 성장체제’가 아닌 ‘이윤주도 성장체제’라는 말이 되는데, 앞의 막대그래프에서 분석한 결과와 전혀 상반된 결과이다.
우리나라의 최근 3-4년 상황을 봐도 상반된 결과가 나온다. 만약 우리나라가 ‘임금주도 성장체제’라면 지난 수년 동안 노동소득분배율이 다소 개선되었기 때문에 내수부양 효과가 나타나야 할 것이다. 그러나 여전히 내수 침체는 확대되고 있다. 다양한 원인분석을 해 볼 수 있는데, 비소비성 지출의 증가가 대표적인 예가 될 수 있다. 최근 수년 동안 정부가 주택담보대출 안정화를 위해 이자와 함께 원금을 같이 상환하도록 유도하고 있다. 안심전환대출이 대표적인 사례다. 그런데 현재 이자와 원금을 함께 상환할 수 있는 계층은 중산층 이상 고소득자들이다. 이로부터 이런 해석이 가능하다. 소득분배율의 다소 개선 몫이 대부분 상위소득자들에게 돌아가고 있고, 하위소득자들의 소득은 여전히 정체되거나 하락하고 있다. 이 때문에 영세자영업자들을 비롯한 하위소득자들은 ‘생계형’ 부채를 늘리고 있고, 상위소득자들은 늘어난 소득을 원금 상환에 쓰고 있어서 양 계층에서 모두 비소비성 지출이 증가하고 있다고 해석할 수 있다. 이 와중에 정부는 내수 부양을 위해 부동산 경기활성화 대책들을 남발하면서 가계대출을 늘리고 있다. 그런데 여기서 새로 진입하는 대출자들에 의한 경기부양 효과보다 앞서 설명한 비소비성 지출로 인한 수요침체가 더 크게 작용하면서 전체적으로 노동소득분배율이 개선됨에도 불구하고 내수 침체가 회복되지 못하고 있는 것으로 분석해 볼 수 있다.
수출의 경우 최근 들어 금액 기준으로 급감하고 있으며, 물량 기준으로도 정체 상태에 들어섰는데, 이는 분배 변수로는 설명할 수 없는 현상들이다. -(주상영, <포용적 성장과 소득주도 성장론 토론회>, 2015.05.22.)
이처럼 미국, 일본, 독일과 최근 한국의 경우를 볼 때, 소득분배율의 하락이 수요부족을 낳아 경제성장을 방해한다는 논리는 일관되게 설명되지 않는다. 마찬가지로 소득분배율의 상승이 수요를 촉진시켜 경제성장을 도모한다는 논리 역시 역사적으로 일관되게 관찰되지 않는다. 경제성장에 영향을 주는 요인들은 소득분배 말고도 다른 요인들이 얼마든지 존재하기 때문이다.
③ 노동소득분배율의 하락이 ‘부채주도 성장’과 ‘수출주도 성장’을 낳았는가?
다음으로 신자유주의가 수요부족에 대응했던 두 가지 방식이라 주장되는 ‘부채주도 성장’과 ‘수출주도 성장’에 관한 비판이다.
먼저 ‘부채주도 성장’에 관한 비판이다. ‘소득주도 성장론’의 주장은 노동소득분배율이 악화되면서 이를 보전가기 위해 가계들이 빚을 내서 ‘부채주도 성장’을 이끌었다고 말한다. 그런데 이에 대한 반론은 통계자료만 확인해도 쉽게 알 수 있다. 2000년대 전 세계적인 부동산 과열은 주로 중산층 이상의 가계에서 주도했다. 이들이 빌린 부채가 대부분을 차지한다. 이건 우리나라의 경우도 마찬가지이다. 2000년대 양산된 하우스푸어들은 대부분은 억대 빚을 질 수 있는 중산층이 핵심이었다.
부채의 양은 계층마다 차이가 있는데, 실제 소득이 높은 계층이 가장 많은 부채를 일으켰다. 이른바 신자유주의적 ‘부채-자산’ 경제가 규범화되면서 부채를 통한 자산매입과 자산거래를 통한 차익실현이 일반화되었는데, 이를 수행하는 핵심적인 주체들은 대부분 소득상위자들과 중산층이었다.
이들에게 부채의 증가는 소득의 하락 때문이 아니라 레버리지를 통한 자산증식효과 때문에 벌어진 일이었다. 즉, ‘생계형’ 부채 요인보다 ‘투기성’ 부채 요인이 지배적인 상황이었다. 물론 서브프라임 사태처럼 하위계층들이 감당할 수 없는 빚을 지게 된 것은 분명 사실이다. 그러나 이들 역시 소득의 감소 때문에 어쩔 수 없이 빚을 진 것이 아니라 투기적 요인 때문에 과도하게 차입을 한 것이었다.
개인의 소득 하락의 문제보다 더 큰 원인은 2000년대 자본축적 위기에 있다고 볼 수 있다. 90년 대 말 IT 버블이 꺼지고 난 후, 위기 직면한 미국 경제가 선택한 필연적 귀결은 새로운 성장 동력을 찾는 것이었다. 주택금융기법의 발달, 이를 가능토록 한 투자은행의 각종 탈규제는 자본축적의 위기를 돌파하기 위한 반작용의 결과였다. 여기에 기축통화 패권국으로서의 미국경제의 고유한 특징이 미국 경제의 막대한 적자(무역적자와 재정적자)를 용인했고, 이것이 다시 투기성 자금으로 환류 되면서 세계경제의 구조적 불균형이 심화되었다. 이것이 2000년대 새로운 금융버블을 일으킨 원인이었다. 그래서 소득이 적은 사람들이 대출을 늘리도록 유도한 이유에는 소비를 유지하기 위한 대출 수요보다, 이윤을 노린 금융시장 내 경쟁 격화가 더 중요한 원인이었다고 지적할 수 있다.
다음으로 ‘수출주도 성장’의 경우도 국내수요침체에 대한 대응전략이라는 주장은 우리나라, 중국, 일본 등의 동아시아 국가들의 경우에 적용되기 힘들다. 우리나라는 수출 주도적 방식의 성장을 이미 70년대부터 추진했었다. 당시 임금분배율은 하락하는 상태도 아니었고 국내수요침체를 막기 위해 수출을 장려했던 것도 아니다. 이와는 전혀 상관없다. 국가주도형 경제개발 계획에 따라 선택한 한국자본주의의 성장전략이었다. 일본이나 중국이 취했던 수출주도형 성장방법도 ‘소득주도 성장론’에서 주장하는 논리와 매우 다르다.
‘소득주도 성장론’에서 주장하는 이런 논리는 유로존 경제국가들 중에서 수출 주도적 성장을 취하고 있는 나라들을 겨냥한 분석인 듯하다. 가장 대표적인 나라가 독일이다. 그러나 이것도 국내수요침체에 대한 대응이라기보다는 고평가되었던 마르크화가 유로화로 통합되면서 생긴 이점 때문이다. 일반적으로 독일은 유로존에서 유로통화동맹의 과실을 가장 많이 챙긴 국가라고 평가된다.
3) 자영업자 비중이 많은 한국에서 소득분배율 분석의 한계
임금분배율, 노동소득분배율 등의 분배율 지표에 관한 논란이다. 소득주도 성장론에서는 분배율의 지표를 자영업자를 포함한 노동소득분배율을 사용한다. 그래서 OECD에서 추정된 자료를 통해 노동소득분배율의 하락을 설명한다. 그런데 자영업자와 임금노동자를 함께 포함시켜 분배지표를 산출하는 것에 대해, 그 실효성에 의문을 제기할 수 있다. 왜냐하면 두 집단을 단순히 통계적으로 합쳐놓은 것에 불과해 엄연히 다른 분배논리를 갖는 두 집단으로부터 올바른 분배개선을 위한 대안을 도출할 수 있는가에 대해서 문제제기가 있을 수밖에 없기 때문이다.
가령 최저임금을 둘러싸고 저임금노동자와 영세중소상인의 이해관계가 대립되는 문제가 대표적이다. 특히 우리나라의 경우 자영업자 비중이 상당히 높아 이런 왜곡현상이 두드러진다. 그리고 자영업자의 소득은 경기변동에 영향을 많이 받기 때문에 임금분배와 동일한 성격으로 파악하기 힘들다. 또한 자영업자의 범위가 너무 넓어 이 집단을 동일한 성격으로 고려하는데 많은 한계가 존재한다. 혼자 혹은 가족끼리 가게를 경영하는 영세상공인부터 수 십 명의 직원을 거느린 대형음식점이나 입시학원도 존재한다. 또한 과거에 많은 비중을 차지했지만 지금은 급격히 줄어든 농어민도 포함된다.
다음 그림은 자영업자를 포함하지 않는 한국은행 방식의 임금분배율과 자영업자를 포함한 OECD방식의 노동소득분배율 통계자료이다. 보다시피 매우 상이한 결과를 보여주고 있다.
![]() |
[출처: OECD, 한국은행] |
여기서 자영업자 소득을 고려한 노동소득분배율을 보고 전혀 상반되는 주장이 가능하다. 하나는 지속적으로 분배 몫이 악화되었다고 주장할 수 있고, 다른 하나는 자영업자가 과잉되었던 경제체제가 임금노동자 중심으로 재편되면서 분배 몫이 안정화되었다고 주장할 수도 있다. 우리가 피부로 체감하는 건 재벌로 편중된 이윤분배인 듯한데, 위 지표에선 그것을 제대로 짚어낼 수 없다. 바로 자영업자의 소득을 어떻게 분류하고 추정할 것인가를 둘러싼 다양한 쟁점들이 존재하기 때문이다.
UN 국민계정체계에 따르면 자영업자 소득은 피용자보수로 계산되지 않고, 자본소득과 노동소득이 혼합된 사업소득으로 간주된다. 따라서 자영업소득을 제외하고 계산된 노동소득분배율은 과소평가될 가능성이 높으며, 이 문제는 선진국에 비해 후진국이 더 심각하다. 그러나 많은 국가들이 자영업자소득에 관한 데이터를 가지고 있지 않으며, 노동소득과 자본소득 간의 배분에 대한 방법 또한 제대로 알지 못하는 실정이다.2
다음 그림에서 임금노동자와 자영업자의 소득분포도 90년대 후반부터 양상이 달라진다. 이것을 두고 결과적으로 전체 노동소득분배가 악화되었다고 평가할 수도 있다. 그러나 현재 자영업자의 악화된 경영구조는 노동시장에서 탈락하거나 이탈한 사람들이 몰리면서 과잉경쟁으로 발생하는 문제가 커다란 요인으로 작용하기 때문에, 임금분배의 논리와 함께 산업구조의 변화도 함께 짚어야 한다.
![]() |
▲ 한국은행 국민계정, 통계청 (자영업자 1인당 소득)=(비법인 개인기업의 영업잉여/자영업자수), (임금근로자 1인당 임금소득)=(피용자보수/피용자수) |
사실 소득분배의 악화를 설명하는데 있어서 굳이 위와 같은 지표가 아니더라도 많은 지표들이 활용된다. 가령 고등학교 교과서에 배운 지니계수도 있고 십분위 분배율도 있다.3 그런데 이런 지표들이 아닌 임금분배율이나 자영업자를 고려한 노동소득분배율을 다루는 데는 다른 이유가 있음을 지적해야 할 것이다. 그건 이윤과 임금의 분배라는 것이 자본주의 경제의 주요한 두 계급인 자본가와 노동자간의 힘의 관계로 파생된 분배를 다루는 것이며, 이로부터 구조적 갈등과 변화를 살펴볼 수 있기 때문이다. 그렇기 때문에 자영업자를 임금소득자와 같이 동일한 계급으로 다룬다는 건, 단순한 통계적 편리성을 넘어선 새로운 쟁점을 제기한다. 그건 자본과 노동의 근본적 대립에 기반한 계급분석의 전통적 틀에 자영업자까지 포함한다는 의미를 가진다.
그러나 자영업자 계급에 대한 분석이 전제되지 않으면 지표 분석이 매우 혼란스러울 수밖에 없다. 예전엔 농민계급을 중간계급(자영업자)이라 칭했는데, 지금은 이들의 비중이 급격히 하락하였다. 그리고 새로운 신중간계급이 등장했다. 이른바 전문경영인에서 부터 전문기술자들과 사무관리직까지, 임금노동자들 내에서의 광범위한 분화로 인해 신중간계급이 등장한 것이다.4 이들은 통계상 자영업자로 분류되지 않고 임금노동자로 분류된다.
한편 특수고용노동자들처럼 형태는 자영업자이지만 실질적인 노동관계는 임금노동자에 가까운 직종도 많이 생겨났다. 흔히 개인사업자라 불리는 화물차주, 학습지교사, 보험모집인 등등이 특수고용노동자에 해당된다. 또한 노동시장에 진입에 실패하거나 퇴출되어 창업에 뛰어든 비자발적 자영업자들의 경우 기존의 계급관점으로 중간계급이라 판단하기 힘들다. 그래서 노동시장 문제와 연동해서 자영업자를 분석을 해야 엉킨 실타래를 풀 수 있다. 그런데 이들 모두 임금노동자에 관한 통계에선 제대로 파악되지 않는다.
그렇다고 자영업자 전체를 임금노동자에 준하는 경우로 분류하는 것도 곤란하다. 자영업자에는 동네슈퍼를 운영하는 이웃도 있지만 수십 명을 고용하고 있는 소기업체 사장까지 폭 넓게 존재한다. 그리고 자영업자는 경기변동에 민감하기 때문에 구조조정 과정에서 탈퇴와 진입이 빠르다. 이는 자영업자의 기본적 속성이 사업주이기 때문이기 때문에 경기변동에 의한 부침에 커다란 영향을 받을 수밖에 없기 때문이다. 흔히 ‘갑을관계’로 회자된 불합리한 영업환경도 자영업자의 소득악화에 큰 문제지만, 사실 가장 큰 원인은 무엇보다도 자영업자간 과당경쟁이다. 분배의 결과는 임금노동자와 비슷하거나 혹은 열악하다고 하더라도 분배 메커니즘은 임금노동자와 상이한 형태를 취하고 있다.
그러므로 이렇게 복잡한 스펙트럼을 갖는 자영업자의 소득을 추려내고 분류하는데 많은 한계가 존재한다. 그래서 통계적으로 확인하기 쉬운 임금노동자의 임금에 몇 가지 보정비율을 적용해 자영업자의 소득을 산출하는게 일반적인 방식이다. 앞서 소개한 OECD 방식의 노동소득분배율도 자영업자 소득과 임금노동자 소득을 같다고 가정하고 산출한 것이다. 자영업자 숫자에 임금노동자의 1인당 임금을 곱해서 계산한 것이다. 이것은 앞서 지적했던 것처럼 복잡한 자영업자의 현실을 통계적 편리성으로 대체한 것이다.
그런데 ‘소득주도 성장론’의 핵심적인 대안이 바로 이 노동소득분배율의 증가이다. “실질소득의 상승이 노동생산성을 증대시켜 안정적인 성장체제를 만든다”라는 이들의 논리를 설명하는데 있어서 이 노동소득분배율은 가장 중요한 지표이다. 만약 여기에 임금노동자 소득과 같다고 가정된 자영업자 소득이 포함된다면, 소득상승과 노동생산성 상승의 순환고리에서도 자영업자가 임금노동자와 똑같은 비중으로 생산성을 향상시킨다고 가정된다. 그러나 자영업자가 생산성을 상승시키는 메커니즘은 임금노동자와 비교할 때, 그 방식과 경향이 다르다. 투하노동시간 혹은 투자노동자수 대비 산출량을 계산하는 방식이 아니라 투하자본 대비 산출량을 계산하는 자본생산성 개념이 오히려 그 메커니즘에 적합할 수 있다. 만약 이 둘을 같다고 전제한다면 애초 ‘임금주도 성장’와 ‘이윤주도 성장’을 나눌 필요조차 없었을 것이다. 그만큼 자영업자 소득을 어떻게 다룰 것인가는 ‘소득주도 성장론’이 자신의 논리를 구성하는데 있어서 반드시 짚고 해결해야할 문제이다.
이건 구체적인 정책 구성에도 영향을 끼친다. 앞서 제시한 OECD 방식의 노동소득분배율이 정책기준의 주된 지표가 된다면, 한국에서의 ‘소득주도 성장론’은 자영업자 중심으로 풀려나갈 수밖에 없다. 그리고 경제문제의 대부분은 자영업을 중심으로 내수를 진작 하려는 시도로 이어지게 된다. 그러면 정책 방향에 있어 이른바 ‘갑을관계’로 불거진 자유주의적 경제 정의의 실현 문제로 한국 신자유주의의 주요 문제가 협소화될 가능성이 커진다. 2012년 대선시기 경제민주화 담론이 크게 부상했지만, 2013년 7월 국회 입법과정에서 드러난 그 실체는 공정거래법 개정, 가맹사업법 개정, 하도급법 개정에 그쳤다.
심지어 최저임금 정책에선 저임금 노동자와 영세자영업자간 계급적 이해관계가 충돌할 수 있다. ‘소득주도 성장론’에 입각한다면 당장 열악한 처지에 있는 저임금 노동자들의 임금을 높여야 하는데, 최저임금을 올리는 문제에서 당연히 영세자영업자들은 반발할 수밖에 없다. 이 문제를 해결하기 위해 국가 재정으로 자영업자 소득을 보전해야 한다는 주장도 제기되지만, 행정력을 동원한 2차 분배는 기준 설정을 두고 또 다른 갈등과 행정비용, 재정분배에 대한 갈등을 낳을 수 있다. 그리고 이것은 일차적 소득분배를 주장하는 ‘소득주도 성장론’의 기본취지와도 맞지 않는다. 물론 우리사회가 이것에 대한 충분한 합의를 이룰 수 있다면, 열악한 상황에 있는 두 집단의 소득을 보전하는 것이 얼마든지 가능하다. 그리고 그렇게 만들도록 노력해야 한다. 그래서 복지증세 논쟁에서도 보듯, 이런 재분배 정책은 정당성 획득이 가장 중요하다고 할 수 있다.
4) ‘사회적 케인스주의’를 둘러싼 역사적 쟁점
다음으로 ‘소득주도 성장론’에서 ‘친노동-임금주도 성장체제’의 올바른 조합이라 주장하는 전후 자본주의 황금기 시절의 ‘사회적 케인스주의’ 모델에 대해 살펴보자. 80년대 이후 세계화 된 신자유주의적 경제 질서의 폐해를 많이 겪다 보니, 그 전의 경제체제에 대해서 약간의 오해와 향수 같은 것이 존재한다. 그런데 과연 당시 경제체제가 ‘친노동’이었을까? 지금 보다 계층 간 소득 격차가 적었고, 금융의 과도한 투기적 요소가 제약되었던 것은 사실이나, 이것을 두고 우리가 앞으로 개혁 혹은 변혁해 나갈 사회상으로 잡기엔 부족하다.
실제 당시 경제체제는 ‘친노동’이 아니었다. 자본의 효율적 관리를 위해 국가가 아주 밀접하게 자본과 결합된 시기였다. 미국에서는 당시 경제발전을 위한 각종 위원회(CED, Committee for Economic Development)들이 만들어졌는데, 여기에서 관료들과 대기업 파견자들이 모든 경제 생산을 계획하고 조율했다. 국방산업이라 칭했지만 사실 모터나 타이어 등의 제조업과 같은 모든 산업이 연관되어 있었다. 이러한 경제계획은 1930년대 세계대공황과 2차 대전을 겪으면서 자본의 요구에 의해 생겨난 것이기도 하다. 자본이 해결하기 힘든 시장의 위험성을 관리해 주고 안정적인 체계적 성장을 보장해 줄 국가의 역할이 절실했기 때문이다. 그리고 이러한 국가의 재량은 ‘재정통화정책의 원리’라는 규범 하에서 이뤄졌다.
1946년 고용법 논쟁과 경제발전 위원회(CED) 컨센서스의 확립은 일련의 제도적 변화의 중요한 결정판이라 할 수 있다.5 이 결과 확립된 ‘CED 컨센서스’의 핵심은 자동 안정화 장치로서 재정정책과 통화정책을 설정했다는데 있다. 경제 정책의 목적을 안정적 경제 성장(GDP)과 높은 고용(실업률 4%)에서의 재정흑자로 설정했다. 그리하여 소득과 생산의 증가를 물질적 자본 투자의 증가와 견고하게 연결시키는 방식으로 자본축적 체제가 만들어졌다. 그리고 고용은 생산, 소득, 투자가 안정적으로 확대되면 그 결과로 창출되는 종속변수가 되었다.
자동 안정화 장치를 쉽게 설명하자면, 경기 순환 주기에 따라 침체기에는 재정적자를 취하고, 호황기에는 약간의 재정흑자를 달성하는 것이다. 이에 따라 정부지출과 세입을 결정하게 된다. 통화정책 역시 물가를 안정시켜 실질 성장이 고용으로 연결될 수 있도록 조정하는 역할을 담당하였다. 이 정책의 원리는 정부의 “직접적인 통제가 아니라 수요 공급의 법칙과 이윤시스템 하에서 자연적 조정”을 추구하는 것이었다. 그 이유는 행정적 명령이 가져올 무지와 무능력으로부터의 위험성을 사전적으로 제거하기 위함이다. 그리하여 정부 정책의 재량성 범위를 근본적으로 제약하고, 정책에 대한 기계적 규칙 기준을 설정하는 것으로 다듬어지게 된다. 그래서 과거 사건들의 반복을 가정한 상태에서 미래 사건을 과학적, 통계적으로 예측하는 능력과 이 예측에 따라 정책을 조정해가는 능력이 핵심적인 요소가 된 것이다.
![]() |
[출처: 구본우, <미국 자본축적 체제의 진화와 균열> 참세상 주례토론회, 2013.12] |
이러한 자동 안정화 장치는 한동안 매우 효과적으로 작동했다. 보통 높은 성장률이 자금수요를 일으키고 이것이 이자율의 상승, 즉 금융비용 상승으로 이어져 다시 성장률 하락으로 귀결되는 순환을 겪기 마련이다. 그런데 금융비용 상승을 상쇄하고도 남을 정도로 수익성 전망이 좋다면 이자율이 상승하더라도 성장률 상승을 기대하여 투자를 늘릴 수 있게 된다. 다른 한편 높은 성장에 대한 기대는 가계의 소비지출 수준을 높게 유지하게 하는 동인이 된다. 자동 안정화 장치들이 성장률 상승을 구조화시키는 역할을 하게 된 것이다. 정부 투자계획에 의한 안정적인 수요창출, 민간자본의 투자지원, 장기계약 등등이 구조화된 체계이다.
복지제도 측면에서 보면, 1930-40년대 사회복지 체제가 구축되어가는 과정에서 GE나 록펠러 같은 법인기업들이 이를 적극 수용했다. 1930년대 세계대공황을 겪은 이들이 보기에 장기적인 안정적 축적을 위해선 생산요소들 간의 투입과 산출의 균형, 특히 노동이 중요한 요소임을 깨닫게 되었다. 이를 위해 40년 대 이후 노사 협상에서 장기계약이 일반화되기 시작했다. 또한 이들은 대공황과 같은 역사적 교훈을 보면서 기업 스스로 감당할 수 없는 거대한 위험을 인식하게 되었고, 기업이 스스로 국가를 불러들이게 되었다. 이로서 국가가 기업의 사회복지 체제를 지원하는 구조가 만들어졌다. 기업은 이러한 관리체제를 통해 장기적 계획화가 가능해졌고 성장과 안정적 투자를 유지할 수 있게 되었다.
이러한 자본의 안정적 성장을 바탕으로 임금분배 체계가 만들어진 것이다.6 세계적인 차원에서 브레튼우즈 체제 하의 자본통제와 금융억압이 있었고, 이에 따른 자본가 계급 개별 소득의 제한과 기업 내 유보이윤 확대에 의한 투자와 고용확대가 결과적으로 안정적 고용과 임금을 만들어준 것이다. 이런 역사적 과정을 통해 만들어진 경제체제를 ‘친노동-임금주도 성장체제’ 라고 부르긴 힘들 것 같다. 임금상승은 결과로 드러난 현상이지 성장체제의 원인은 아니었기 때문이다.
‘사회적 케인스주의’의 한계
그러나 이러한 ‘사회적 케인스주의’ 성장체제도 서서히 한계에 직면하게 된다. 60년 중후반 이후부터 높은 투자율이 실질GDP 성장으로 연결되지 못했던 것이다. 이후 70년 들어 이 격차는 더욱 벌어지는데, 이자율이 떨어져 금융비용을 낮아졌음에도 그 효과는 뚜렷하게 드러나지 않았다. 그리고 성장률을 끌어올리기 위해 지속적인 재정투여가 이어졌지만 재정적자는 점점 만성화되고 재정위기가 심화되었다. 경기순환에 근거한 조절장치가 한 반향으로만 장기간 움직인다는 것은 조절장치로서의 기능을 상실했다고 볼 수 있다. 이로서 ‘CED 컨센서스’에 담겨 있는 중요한 정책기능들의 신뢰가 심각하게 훼손되었다.
![]() |
▲ 기업 매출(U.S. Statistics Abstract 각 년도), 민간 고용(Bureau of Labor Statistics), 소비자물가상승률(http://aida.wss.yale.edu/~shiller/data.htm), 실질 GDP 상승률(NIPA) |
위기는 기업의 수익률 하락으로 드러났는데, 70년대에 나타난 스태그플레이션은 기업이 수익률 하락을 상쇄하기 위한 전략적 시도와 연결된 현상이었다. 위 그림에서 보듯 실질 GDP상승률은 하락하고 물가상승률은 상승하는 70년대 대규모 스태그플레이션 구간 동안, 노동자 1인당 매출액의 상승률(기업매출상승률-민간고용상승률)이 크게 증가한다. 이는 기업이 투자와 고용을 감축하는 동시에, 가격을 상승시켜 수익률을 보전하고자 한다는 것을 의미한다. 위기의 원인은 수익성 하락이었고, 고용과 임금 감소는 위기에 자본이 대응한 결과였다.
이로서 70년대 ‘사회적 케인스주의’의 위기는 명확하게 자본성장의 한계에 따른 것임을 알 수 있다. 안정적인 수요창출을 도모했던 정부의 재정정책과 기업의 고성장, 그리고 투자와 고용의 확대는 어느 순간부터 연결 고리가 끊어졌다. 정부의 재정적자 심화는 자본의 성장으로 이어지지 못하고 인플레이션을 자극시키는 부작용을 초래했다. 또한 인플레이션 하에서 수익성 악화를 겪었던 기업은 노동에 대한 분배체제를 약화시키는 것으로 대응했다. 그리고 이러한 자본의 위기를 타계하기 위한 자본의 새로운 전략이 바로 신자유주의이다. 신자유주의는 기존의 이념적 패러다임과 성장체제의 기초를 바꿨으며, 이에 종속되었던 분배체제도 바꾸었다.
이런 역사적 분석에 근거해 볼 때, 친노동적 정책변경을 통해 ‘사회적 케인스주의’ 체제로 회귀할 수 있다고 생각하는 건, ‘체제’와 ‘체제’ 사이의 단절을 고려하지 않은 기술 관료적 시각이라고 지적할 수 있다. 그러나 현실에선 그런 ‘체제’사이의 연속이 쉽게 일어나지 않는다. ‘체제’가 구축되는 과정은 현실의 이익배분과 이를 통제하는 제도와 규칙 그리고 그것의 정당성을 부여하는 이념이 삼위일체가 될 때 이뤄질 수 있다. 과거 전후 케인스주의식 성장모델이 그러했고, 80년대 등장한 신자유주의가 그러했다.
만약 전후 케인스주의식 성장모델로 회귀할 수 있다고 주장한다면, 그러한 성장모델을 국제적으로 뒷받침했던 ‘브레튼우즈 체제’7를 어떻게 복원할 것인지 답해야 할 것이다. 만약 ‘소득주도 성장론’에서 대안으로 제기하는 “글로벌 케인스주의적 뉴딜”체제가 바로 이런 것을 지칭한다면, 다시 미국을 중심으로 하는 안정적인 자본성장체제가 어떻게 구성될 수 있을지 현실적인 경로를 제시해야 할 것이다. 그러나 현재 글로벌 위기대응으로 만들어진 ‘G20 체제’는 자본통제를 위한 금융과세나 조세피난처의 탈세 문제 해결을 위한 조세협약 수준조차도 커다란 합의를 만들지 못하고 있는 실정이다.
5) 장기적 성장체제에 대한 이론적 쟁점
다시 정리하면 ‘소득주도 성장론’의 대안은 말 그대로 소득분배 개선을 통한 유요수효 창출 ->기업의 설비가동률 상승 -> 고용과 투자촉진 -> 경제성장(자본축적률 증가)의 선순환이다. 여기서 중요한 이론적 쟁점으로 제기되는 부분이 바로 기업의 투자를 설비가동률의 함수로 해석하고, 설비가동률을 내생변수로 설정한다는 점이다. 주류 케인지안들은 보통 투자를 이자율의 함수로 간주하지만, ‘소득주도 성장론’을 주장하는 포스트 케인지안들은 투자를 설비가동률의 함수로 설정한다.
다소 어려운 경제학적인 개념이긴 하나, 쉽게 말해 기업가가 공장기계가 돌아가는 상황을 보면서 투자와 고용을 결정한다는 것이다. 그리고 올해 얼마나 공장기계를 돌릴 것인가에 대한 결정은 전년도 목표수준과 실제가동률을 바탕으로 미시적 수요변동에 의해 조정된다는 것이다. 그래서 수요를 촉진하여 물건이 많이 팔리고 기계가 잘 돌아가는 것이 고용과 투자를 일으키는 원인이 되기 때문에, 수요 촉진을 위한 임금분배가 강조되는 것이다.
대부분의 경제학자들은 단기에서는 얼마든지 수요 촉진 정책이 유효하다고 생각한다. 가끔 정부에서 경기부양을 위해 추경편성이나 재정조기 집행을 하겠다고 말하는 것이 모두 이런 인식에 바탕을 두고 있다. 그래서 단기적 상황에서 이런 수요증대에 의한 경기부양은 아무런 쟁점이 되지 않는다. 흔히 “단기에서의 경기변동과 장기에서의 경제성장”이라 말하는 것과 비교할 때, 단기에서의 경기부양 효과는 경기변동의 흐름에 영향을 줄 수 있다.
문제는 장기에서도 이러한 수요증대를 통한 성장체제가 만들어질 수 있는가이다. ‘소득주도 성장론’의 입장은 장기에서도 그것이 가능하다는 입장이다. 항상 최대가동률과 현재가동률의 격차가 존재하기 때문에 가동률을 상승시켜 경제성장의 여지를 언제나 만들 수 있다고 주장한다. 여기서 말하는 ‘격차’가 존재하는 이유는 가동률이 최대가동률에 근접하면 이윤창출을 위해 설비투자를 늘리게 되고, 공장기계가 늘어난 만큼 다시 벌어진 가동률의 격차를 메울 수 있는 여지가 생기기 때문이다. 또한 수요확대에 따라 생산성 향상이 이뤄지면 이윤을 충분히 확보할 수 있고 투자를 원활하게 할 수 있어 자본성장이 이뤄진다. 결국 유효수요만 창출되면 성장의 선순환은 장기적으로 얼마든지 가능하다는 논리가 만들어지는 셈이다.
이러한 노동생산성 증가에 따른 선순환 논리는 이들의 노동소득분배율 산식에서 도출된 노동소득분배율의 성장률에서도 확인할 수 있다.
1인당 임금이 증가하면 1인당 산출량을 뜻하는 노동생산성도 같이 증가하기 때문에 기업에 대한 분배압박이 줄어들어 자본성장이 충분히 가능하다고 주장한다. 그래서 전체 파이를 키우면서 안정적인 분배와 성장이 가능해진다는 것이다. 그래서 ‘소득주도 성장론’에서는 노동생산성 향상에 기반한 소득분배를 이야기 한다.
그런데 실제 어떤 경제적 성과능력을 나타내는 ‘생산성’이라는 개념은 집합적 노동의 개념에서 나온다. 단순히 1인당 산출량을 계산하는 것으로는 온전하게 해석할 수 없다. 지금처럼 분업화되고 전문화된 산업구조에서는 더욱 그러하다. 이 집합적 노동에는 자본과 어떻게 결합되는지 그 기술적 요인이 매우 중요하다.
그리고 실제 기업들의 행동을 보면, 미시적으론 수요에 의해 목표가동률을 결정할 순 있지만, 장기적 경향에서 총수요에 반응하기보다는 기술-조직-제도 변화에 의해 많은 영향을 받는다. 경기가 과열되거나 침체되는 걸 막는 거시 경제적 차원의 국가장치도 있다. 중앙은행과 행정부의 통화정책, 재정정책이 그런 예이다. 정책적 판단에 따라 이것이 잘 작동하기도 하지만 때론 잘 작동하지 못하기도 한다. 그리고 분배증가가 초기엔 노동생산성을 어느 정도까지 높일 수 있으나, 일정 수준이 지나 장기적 경향으로 보면 기술혁신의 의해 크게 작용한다. 그러므로 혁신적인 기술발달에 따라 생산성이 증대되어 가동률과 설비투자가 커지기도 하지만, 기술혁신의 곤란함 때문에 과잉경쟁-과잉생산이 벌어지면 하향되기도 한다.
실제 1948년부터 2012년까지 조사한 미국 제조업의 설비가동률은 60년대 후반부터 장기적으로 하락하는 경향이 드러난다. 83%->75%으로 하락. 그리고 다음 그림에서 보듯, 장기균형추세선을 중심으로 중기(5-10년)적 수준에서 설비가동률의 순환이 나타난다.
![]() |
[출처: 뒤메닐, 레비(2012) |
이것은 유효수요 창출에 의한 소득주도성장 전략이 단기적 혹은 중기적 수준에서 유효할 수도 있음을 보여주기도 하지만, 동시에 장기적인 지속 성장체제는 아님을 말해주기도 한다.
그러므로 가동률 데이터가 60년대부터 장기적으로 하락하였다고만 단순히 판단하면, 원인을 수요의 장기적 하락 경향으로만 찾게 된다. 이는 이후 벌어진 70년대 위기와 80년대 신자유주의 등장이 갖는 복잡성을 수요부족으로 단순화 시키는 우를 범할 수 있다. 다시 말해 신자유주의는 잘못된 환상에 불과하였다고 치부하는 결론으로 끝날 수 있는 것이다. 왜 신자유주의가 70년대 위기를 거치면서 등장했었는지, 그 역사적 과정에서 계급투쟁은 어떻게 변했는지 주체는 어떻게 변모했는지 등등, 이런 중요한 교훈들을 놓칠 수 있다.
5. 소득주도 성장론이 우리에게 주는 교훈
과연 장기적 전망을 여는 새로운 전락이 될 것인가? 아니면 과거의 향수를 자극하는 달콤한 유혹이 될 것인가? ‘소득주도 성장론’이 최근 몇 년 사이에 세계적으로 급부상한 이론이라 이것이 어떻게 진화할지 함부로 예단하긴 힘들 것이다.
그렇다면 이런 논쟁들이 우리에게 주는 교훈은 무엇일까? 소득불평등에 대한 역사적 분석을 통해 신자유주의가 도대체 누굴 위한 체제인지 당연히 폭로되어야 한다. 그리고 새로운 분배체제를 요구하는 투쟁이 지지받아야 한다. 그래서 ‘소득주도 성장론’자들이 주장하는 소득 불평등 해소를 위한 요구들은 현실적인 의의가 크다.
그런데 이것이 반드시 자본의 성장과 연관 지을 필요에 대해선 논란이 많다. 분배론의 측면에서 이 이론의 정치적 활용은 유용할 순 있으나, 성장론의 측면에서 이것을 우리가 고집할 이유는 없다. 만약 소득분배를 늘렸음에도 불구하고 저성장이 계속 된다고 해서, 그동안 분배되었던 것을 대중들이 반납하거나 분배제도를 자본 편향적으로 다시 뜯어고칠 이유는 없기 때문이다. 다소 과장되게 말해, 매년 GDP 1000조를 생산하는 우리나라에서 설령 성장률이 0%라 해도 매년 GDP 1000조를 생산하고 있는 셈이다. 우파 이데올로그들이 겁박을 주는 것처럼 성장률이 떨어지면 갑자기 땅이 갈라지는 식의 파국이 오는 것은 아니다.
최근 우리나라에서도 저성장 문제를 많이 지적하는데, 인구제약과 성장체제의 한계 때문에 성장률의 절대적 수치가 하락하는 것은 당연한 현상이다. 이것은 유럽, 일본, 미국 등 선진국 경제에서 일관되게 관찰되었던 현상이다. 문제는 이런 저성장 체제하에서 경제패러다임을 새롭게 구축하는 것이 중요하다. ‘소득주도 성장론’이 이러한 저성장 패러다임의 하나일 수도 있다. 그러나 이것은 신자유주의가 자신의 위기를 관리했던 방식과 충분히 조응할 수 있다.8
사실 우리나라에서 심각한 아킬레스건은 높은 수출 의존적 성장체제 때문에 발생하는 대외종속성이다. 당장 삼성의 핸드폰과 현대의 자동차 수출이 곤두박질치면 우리 경제에 미치는 타격은 심각하다. 이러한 대외의존성은 해외시장의 경기변동에 더욱 취약해지도록 만들며, 수출대기업 중심에서 벗어날 수 없도록 만든다. 그렇다고 당장 삼성을 해체하여 1000개의 중소기업으로 쪼갠다는 발상도 넌센스일 뿐이다. 쪼갤 수도 없거니와 1000개의 중소기업으로 쪼갠다고 한들 이들이 글로벌 수출시장에 목메야 하는 건 매 한가지이다.
이런 의존성은 수출 지상주의로 내달려온 우리나라 산업화 역사의 결과물이다. 이로서 탄생한 삼성과 현대와 같은 초국적 거대 자본은 한국에서 벌어지는 분배투쟁으로부터 상당히 자유롭다. 얼마든지 탄력적으로 대응할 수 있는 기반을 갖추고 있기 때문이다. 중소기업의 절반이 대기업의 다단계 하청구조에 종속되어 있다. 그래서 새로운 분배체제를 요구하는 투쟁은 독점대기업에게 집중되어 있는 생산체제에 대한 사회화 전략을 우회할 수 없다. 이와 동시에 심각한 재생산의 위기를 극복하기 위해 주거, 의료, 교육의 사회화 정책이 새롭게 발굴되고 전면화 되어야 한다.
사실 ‘소득주도 성장론’에서 제시하고 있는 ‘공평한 분배와 안정적인 성장’이라는 구호는 이미 노조가 자본의 ‘선성장 후분배’의 논리에 맞서 20여 년 가까이 정치적으로 활용하고 있는 구호이기도 하다. 전노협시기부터 지금까지 전투적 노동조합운동은 임금극대화를 위해 싸워왔다. 그래서 ‘소득주도 성장론’이 강조하는 일차적 분배는 노동현장 수준에서 보면 새로울 게 없는 내용일 수 있다. 노동현장에서 그걸 몰라서 못하는 것이 아니기 때문이다. 그러나 지금 현재 그런 힘을 유지하고 노조는 몇몇 되지도 않는다. 노조에 대한 공격과 배제는 일상적인 현상이 되었고, 그나마 조직노동자의 비율도 전체에서 10%에 불과하다.
그런 면에서 본다면 지난 대선 시기 ‘경제민주화’에 대한 대중적 관심과 열망은 심화하고 있는 불평들의 문제를 미시적 수준이 아닌 거시적 수준의 문제로 끌어올려 해결해 보자는 목소리였다고 볼 수 있다. 그러나 국회에서 벌어졌던 경제민주화의 결론은 이를 자영업자의 권리개선, 복지재정 확충, 협동조합 활성화 수준에서 머물렀고, 그마저도 흐지부지 되고 말았다.
그렇기 때문에 ‘소득주도 성장론’에서 주장하는 분배와 성장의 선순환이라는 프로세스가 ‘계획가’에 의해 기획되고 관리되는 것으로만 상을 그린다면, 이는 주류 이론가들과의 논쟁으로만 협소화 될 것이다. 그리고 자본이 제시하는 성장률과 수출증가율의 숫자놀음에 종속당할 것이다. 더욱이 서두에 언급한 것처럼, 한국에서 이를 주도하는 이론가들이 주체발굴보다는 노사정 협의회와 같은 “사회적 합의”에 주되게 초점을 모으고 있는 점은 상당히 우려스럽다. 잠시나마 대중들을 열광시켰던 경제민주화 담론이 몇 개 법을 고치는 수준에서 그쳤던 걸 상기해 볼 때, 주체의 발굴과 결집 없이 합의모델에 전략적 초점을 맞추는 건 ‘소득주도 성장론의 우파적 버전’9에 침몰될 가능성을 매우 높게 만든다.
‘소득주도 성장론’이 역사적 사례로 내세우고 있는 ‘사회적 케인즈주의’조차도 조직된 노동자들의 저항과 현실사회주의와의 체제경쟁이라는 대내외적 상황을 타계하기 위해 스스로 만든 위기관리체제이자 타협체제였다. 그래서 현재 이 두 가지 제약으로부터 한층 자유로운 신자유주의가 과거처럼 타협체제를 선택할 수밖에 없다고 생각하는 건 매우 안일한 생각이다. 그렇다고 저성장에 직면한 신자유주의가 스스로 붕괴될 것이라 바라며 이를 기다리는 것 역시 순진한 생각이다. 왜냐하면 무너진 그 자리를 메우는 건 여전히 현실에서 힘을 쥐고 있는 세력들이기 때문이다. ‘소득주도 성장론’을 비롯한 여러 대안적 담론들에 있어 더욱 담대한 전략이 필요한 때이다.
*주
1. 현대 포스트 케인지안 경제이론은 케인즈의 연구에 자신을 국한시키지 않는다. 케인즈가 캠브리지에서 일반이론을 쓸 당시, 그와 친밀하게 지냈던 헤로드Roy Harrod, 로빈슨Joan Robinson 등 1950년대와 1960년대 캠브리지학파 태동을 이끌었던 여러 경제학자의 연구로부터도 영감을 받는다. 이들 경제학자 중에는 칼도Nicholas Kaldor, 칼레츠키Michal Kalecki, 스라파Piero Sraffa 등도 포함된다. 일부 프랑스 조절학파 학자들처럼 (Boyer, 1990), 포스트 케인지안 입장은 제도학파의 연구, 특히 베블렌Thorstein Veblen과 겔브레이스John Kenneth Galbraith가 발전시킨 사상과 밀접히 관련된다. 이 점에서 포스트 케인지안은 1936년 옥스퍼드 경제학자 연구그룹Oxford Economists' Research Group에서 시작한 연구를 계승한다. 그러나 케인즈가 그랬던 것처럼, 포스트 케인지안 경제학자는 대체로 거시경제 문제에 관심을 두고 있다.
2. 주상영, 전수민(2013) <노동소득분배율의 측정>
3. 10분위 분배율= 하위 40% 소득계층의 점유율/ 상위 20% 소득계층의 점유율
4. 장귀연(2013), <노동의 양극화, 신중간계급의 부상>
5. 고용법 원안에서는 완전고용을 국가가 보증해야 하고, 소비와 투자 수준이 이에 못 미칠 경우 부족분을 정부지출을 통해 충당되도록 설정하였다. 그러나 논쟁의 결과 고용 외에 ‘생산’이 중요한 목적으로 추가되었고, 적자 지출의 특수한 지위가 해체되고 조세정책, 통화정책 등 다른 정책들과 동등한 지위로 내려갔다. 그리고 기존 기업-경제 전문가들의 민간 연합체인 CED가 대통령 자문기관으로 전환되었다.
6. 심지어 30년대 미국의 대공황 시절 수많은 실업자들이 길거리를 헤매는 동안에도, 수익성이 높은 기업들에 고용되어 있었던 노농자들(AFCLO)은 상대적 고임금을 누렸다.
7. 미국의 경제력을 바탕으로 한 국제통화체제로서 1971년 미국의 닉슨대통령이 달러-금 태환정지를 선언하면서 종말을 고한다.
8. 흔히 ‘포스트 워싱턴컨센서스’라 불리는 경제정책이다. 기존의 잘 알려진 ‘워싱턴컨센서스’ 10개항에 다음과 같은 항목들이 추가된다. 사회안전망 확충, 빈곤퇴치, 정치개혁과 부패추방, “신중한” 자본시장 개방, 노동시장 유연성, 국제협정 수용, 금융시장 국제수준 달성 등 - 김원호(2002) <중남미 발전모델은 순환하는가? 구조주의에서 포스트 워싱턴 컨센서스까지>
9. 송명관, <‘소득주도성장론’의 우파적 버전들 : 변형된 부자감세와 부동산 경기부양>, 전국불안정노동철폐연대 질라라비 139호 2015.3















