이윤율 변수는 자본주의 역사적 동역학을 설명하는 마르크스 경제학의 가장 중요한 변수이다. 잘 알려져 있다시피, 마르크스주의 경제학은 이윤율 장기적 하락 경향에 주목하고 있으며, 마르크스는 <자본>3권 15장에서 이러한 변수와 구조적 위기(거기서 마르크스가 직접 이러한 말을 사용한 것은 아니다) 간의 상관관계를 묘사한 바 있다. 우리는 마르크스의 논의를 이윤율 하락과 함께 나타나는 거시경제변동성의 증가 및 금융적 혼란을 묶어 구조적 위기라고 칭한다. 이윤율 하락으로 인한 거대 위기의 도래를 구조적 위기라 부르는 것이다.
앞서 이야기한 구절에서 마르크스는 이에 대해 “총 자본의 자기 팽창률 또는 이윤율이 하락하며, 이는 자본주의적 발전의 위협요소로 나타난다. 그것은 과잉생산, 투기, 위기들(crises), 과잉인구와 더불어 나타나는 과잉자본을 낳는다”라고 밝히고 있다. 구조적 위기란 바로 그 ‘위기들’을 지칭하는 것이다. 실제로 위기가 닥치기 이전까지 그 구조적 모순에 대해 지적할 수 있을지 몰라도 누구도 그 모순을 인정하려고 하지 않거나 실제로는 없다고 주장할 수 있기 때문이다. 마르크스도 말했듯이 위기가 바로 이런 모순들 자체를 드러내는 것이다.
정리하자면 구조적 위기란 이윤율 저하라는 장기적 경향 속에서 어떤 시기의 각 국면의 한계를 드러내는 위기들을 말한다. 따라서 40년 동안의 구조적 위기란 정의는 존재할 수 없다. 물론 이러한 형태의 거시경제 변동성의 증가와 금융적 혼란이 꼭 이윤율 저하하고만 맞물려 있는지는 따져 보아야 한다.
70년대 이후 이윤율 저하와 위기논쟁에 대한 쟁점
이 쟁점은 약간 복잡한데, 우리에게 잘 알려진 로버트 브레너와 앤드루 클라이먼의 작업을 먼저 다루기로 한다. 그 중에서도 먼저 우리는 앤드루 클라이먼(Andrew Kliman)의 작업을 짚어보고자 한다. 어쨌든 클라이먼은 역사적 비용으로 추정된 자본스톡 데이터를 기초로 미국경제 이윤율을 계산하였다. 이제까지 보통 경상가격(또는 현재비용, 마르크스는 대체가격이라는 말을 사용하였다)에 기초한 자본스톡 추정치를 이윤율 계산에 사용하였는데, 클라이먼은 조금 다른 시도를 한 것이다. 물론 미국경제분석국은 역사적 비용으로 추정된 자본스톡 데이터를 제공하고 있으며, 그를 통해 새로운 추정치를 제공하는 것이 나쁜 일도 아니고, 클라이먼이나 그의 동료들이 나름대로 이론적 기초를 제공하고 있으므로 무의미한 시도라 볼 수도 없다. 아무튼 그는 이런 새로운 계산을 기초로 70년대 이후 이윤율이 장기적으로 정체하였다고 주장한다.
![]() |
▲ <그림1> 미국경제이윤율(법인부문, 1952-2012) 빨간색: 역사적 가격 이윤율, 파란색: 경상가격 이윤율 |
<그림1>에서 관찰할 수 있듯이 기존에 사용해 온 추정방식(현재비용 또는 경상가격 이윤율)은 1970년대 이후로의 명확한 하락경향을 증명해주지 못한다. 오히려 상승하고 있다는 걸 보여주고 있는데, 클라이먼이 새로 도입한 이윤율을 통해 보면 적어도 70년대 이후 상승경향은 없는 것 같다. 앞서 말한 바대로 그렇다고 하락한 것도 아니다. 어쨌든 그는 70년대 이후로 최소한 미국경제가 이윤율의 관점에서 진전이 없음을 보여준 것이라고 본다.
클라이먼의 논의를 있는 그대로 받아들인다면 역사적 비용 이윤율 추정 전반이 어떤 경향을 보여주는 데이터가 아님에 주의할 필요가 있다. 실상 클라이먼의 데이터는 70년대부터가 아니라 이 데이터가 추정된 1952년부터 경향이 없다. 시계열 데이터 시리즈를 관찰할 때 이 데이터의 불안정성(경향이 존재하는지, 분산이 안정적인지)를 관찰하는 간단한 방법이 있는데 이를 단위근 검정이라고 한다. 단위근을 가지면, 이 데이터는 불안정한 것이다. 만약 경향이 있다면 단위근을 가져야 한다. 하지만 적어도 필자가 재현한 클라이먼 데이터는 단위근을 가지지 않는다.1
실제로 이 데이터에 대해 이런 통계적 방법을 사용할 필요도 없이 변동성이 큰 두 부분을 없애보자. 다시 말해 왼쪽 손으로 50년대 부근을, 오른쪽 손으로 2000년대 부근을 가리고 데이터를 관찰하자. 이 데이터에는 경향성이 없다. 또한 굳이 장기적 흐름을 유추해보면 현재비용 데이터와 별다른 차이를 보이지 않는다.
따라서 이러한 결론에 따르면 클라이먼 데이터는 ‘1950년대부터 자본주의가 계속 진전된 게 없다’라는 이야기와 마찬가지이며, 실상 70년대(또는 그 때부터 시작된) 구조적 위기라는 등의 이야기는 쓸모없는 것이다.
여기서 따지고 넘어가야할 것은 이른바 1970년대 장기침체를 이야기하는 대부분의 이론이 잘 살펴보면 이런 구조를 지니고 있다는 점이다. 지난 기고문에서도 이야기했듯이 자본주의가 1970년대 장기침체에서 어찌되었던 벗어나지 못했다는 이론을 받아들이는 사람은 강력한 마르크스주의 경제학의 지지자이자 자본주의에 대한 비판자들로서 칭송받는다. 다시 말해서 신자유주의란 허상이자 신기루일 뿐이라는 이야기가 그들의 주장이다. 그리고 거슬러 올라가면 50년대부터 시작된 케인스주의 거시경제관리 또한 허상이라는 것이다. 이미 자본주의는 모순을 드러냈고, 이는 위기관리 메커니즘에 지나지 않는다는 것이다. 이러한 논의가 많은 부분에서 의미 있는 관찰을 하고 있음에도 불구하고 논의 전체를 받아들이기가 힘들다.
한 가지 지적해야할 것은 이런 논의가 한국의 마르크스주의 진영 대부분의 입장이라는 걸 알 수 있다. ‘세계체계론’을 새롭게 해석해 온 일부 경제학자들 뿐 만 아니라 그 외의 마르크스 진영에서 활동하는 대부분도 이런 입장을 취하고 있다. 특히 조반니 아리기의 이론을 이윤율 저하와 결합시켜 이야기했던 이론적 입장이나 국독자의 입장에서 이야기했던 그룹이나 로버트 브레너의 관점을 따랐던 그룹2이나 오십보 백보인 셈이다. 그리고 이러한 논의들이 앤드루 클라이먼과 같이 실제 이윤율의 장기적 운동을 관찰하려는 노력에 기인한 것도 아니라는 점을 기억해야할 것이다.
필자는 앤드루 클라이먼의 이론적 체계 전체에 대해서 또는 그의 이론적 기여 전체에 대해서 평가하려는 것이 아니다. 단지 역사적 비용으로 추정된 이윤율이 무엇을 의미하는가에 대해 지적하고, 이를 통해 우리가 그동안 정설로 여겨 왔던 ‘70년대 장기침체’라는 교리에 대해서 반성할 필요가 있음을 이야기하려 하는 것이다.3
이윤율 분석의 중요성, 자본축적률과 자기자본 수익률간의 관계
마르크스경제학에서 이윤율을 그토록 이야기하는데, 그렇다면 도대체 이 이윤율 지표는 왜 중요한 것일까? 구조적 위기를 이윤율을 통해 확인한다고 했지만, 도대체 왜 이윤율을 통해 구조적 위기를 봐야 하는지, 또는 이윤율의 장기적 하락을 통해 자본주의가 붕괴한다고 하는데 도대체 무엇 때문인지, 속 시원히 들어본 적이 별로 없다.
앞서 조반니 아리기의 이론을 결합시켰던 한 이론가의 경우 경제전반의 이윤율 움직임을 자본축적과 관련시켜 설명하였는데, 그의 경우에는 오히려 이윤율의 변동을 자본축적으로 통해 반대로 추정하기도 했다. 이 방식은 굉장히 문제가 많고, 이후에 필자를 비롯한 많은 이들의 지적을 받았다. 이를 자본주의 경제의 동역학과정을 제시하는 것으로 높게 평가할 수 있으나, 이는 특정 매개변수 값에 지나치게 의존하는 것으로 주류 경제학의 생산함수 방식과 다를 바가 없다는 점을 지적하고 싶다.
이러한 방식은 실제로 경제학에서 많이 등장하기 때문에 그것만으로 비난받을 수는 없으나 경험적으로나 이론적으로나 아주 신중한 접근이 필요하다는 점을 외면할 수 없다. 먼저 이를 위해 상당히 면밀한 관찰이 동반되어야 한다. 통계나 계량경제학적 방법의 한계에도 불구하고 우리가 그것을 선험적으로 배제하기 힘들다. 경험적 관찰과 이론적 구성의 선험적 선후관계를 규정지을 수는 없기 때문이다.
이윤율은 자본축적의 원인이 되며, 자본축적은 고용과 생산량을 결정한다. 이는 마르크스주의 경제학의 중요한 핵심고리이다. 물론 자본축적과 고용 및 생산량의 관계는 기술적 매개변수를 필요로 하며, 그것은 또한 이윤율의 장기적 동역학을 통해 관찰할 수 있다. 일단 우리는 이윤율과 자본축적 간의 고유한 관계를 가정하거나 이론적으로 구성할 수 있는데, 이제 그것을 관찰할 수 있어야 한다. 다시 말해 어떤 식으로든 관련되어 있어야 한다는 것이다.
![]() |
▲ <그림2> 이윤율과 축적률(미국법인부문, 1952-2010) 빨간색: 마크르스식 이윤율, 파란색: 자본축적률, 녹색: 금융적관계가 고려된 자기자본수익률 |
<그림2>에서 보듯이 마르크스 식으로 구성된 이윤율, 즉 흔히 이윤율이라 부르는 순고정자본스톡 대비 이윤율(이글의 보론 참조)과 이른바 축적률, 즉 고정자본의 순성장률은 크게 다르다는 것을 알 수 있다.4
이 고정자본의 성장률은 ‘금융적 관계’를 고려한 자기자본수익률(녹색그래프)과 긴밀한 관계를 지니고 있다. 여기서 말하는 ‘금융적 관계’란 이자 배당 지급 뿐 만 아니라 법인부문의 자산과 부채 및 재고까지 고려하는 것을 뜻한다. 만약 역사적 비용으로 자본스톡을 고려하여 다시 비교하면 어떨까? 짐작하다시피 별 차이가 없다.
![]() |
▲ <그림3> 역사적 비용 이윤율과 축적률(미국법인부문, 1952-2010) 지표는 <그림2>와 동일 |
<그림2>와 <그림3>은 거의 비슷한 양상을 보여준다. 다시 말해 마르크스주의적 이윤율은 경제 전반의 장기적 경향성을 보여주고 있지만, 그렇다고 해서 그것이 자본축적률과 직접적인 상관관계를 갖고 있는 것은 아니라는 점이다. 역사적 비용으로 추정한 마르크스식 이윤율에 기초하여 70년대부터 장기침체가 있었다고 주장하는 것이 이론적으로나 경험적으로나 그렇게 탄탄한 주장이 아님을 쉽게 확인할 수 있다.
마지막으로 <그림2>와 <그림3>에서 우리는 이번 2008년 금융위기가 아주 심각한 위기, 즉 구조적 위기라고 판단할 수 있는 근거를 발견할 수 있다. 데이터의 마지막 부분, 즉 최근 시기를 보면, 금융적 관계를 포함한 이윤율의 일시적 회복에도 불구하고, 자본축적률은 이와 상반된 방향으로 나아가고 있다. 이런 관계는 우리가 데이터로 확인할 수 있는 앞선 시기에서는 거의 관찰되지 않는다.
여기서 자기자본수익률을 수식해주고 있는 ‘금융적 관계’의 의미는 별개가 아니다. 그것은 단순히 투기적 활동도 아니며, 역사의 특별한 단계 또는 국면으로서 설명되기도 힘들다. 자본운동의 일반적 모습이다. 물론 그것은 어떤 국면에서 그 활동성이 크게 확대될 수도 있다. 특히 20세기에는 그러한 활동의 범위가 국가정책에 크게 영향을 받았다.
우리는 위의 그림들을 통해 ‘금융적 관계’와 그와 관련된 국가정책이 실물적 경향을 규정할 수 있으며, 따라서 생산량과 고용에 대한 장기적 관계를 형성할 수 있음을 보았다. 이는 케인스주의적인 국가개입형태와는 다른 것으로 마르크스주의 경제학이 가지고 있는 분석의 힘이다. 마르크스주의가 단지 자본주의 경제의 불안정성과 그 최종적 위기만을 이야기하는 것이 아니라, 자본주의 경제에 대한 국가정책과 경제적 동역학이 갖는 계급적 효과를 분석하고 그에 대한 구체적 대안을 제시할 수 있음을 의미한다. 더 나아가 이를 통해 자본주의 경제를 극복하기 위한 ‘동맹’을 구성할 수 있는 힘도 가지고 있음을 알 수 있다.
이에 대한 전반적 논의를 하기에는 이번 기회는 부족하다. 어쨌든 간단한 관찰들로도 우리가 이번 위기를 평가하는 데 좀 더 신중할 필요가 있음을 느낄 수 있다. 기존의 논의가 단순한 권위라든지 활동가 지형과 관련된 논리로서만 받아들여서는 안 된다. 이러한 늪에서 빠져 나오지 않는 한 아무도 우리의 말을 믿지 않을 것이며, 또 다시 실망하고 외면할 것이다.
<보론> 이윤율의 경험적 추정을 위한 개념 노트
이윤율을 경험적으로 측정할 때, 우리는 분모로서 자본스톡, 주로 현재비용으로 평가된 순고정자본스톡을 사용한다. 우리나라의 일부 연구자의 서평 등에서 이러한 순고정자본스톡으로 평가된 이윤율은 마르크스의 비율이 아니라고 이야기되는 경우가 많은데, 이는 두 가지 이유에서 정당하지 못한 평가이다. 1) 우리가 경제가 갖고 있는 기술/분배의 역사적 양상을 평가하기 위해 이러한 경로를 따라야만 하고 신뢰할 수 없는 건 이러한 연구가 아니라 이러한 연구조차 없는 것이다. 2) 이러한 이윤율 정의는 마르크스의 정의와 동치일 뿐만 아니라 스톡/플로우 변수 및 그것을 변환시키는 매개변수에 대한 정의들과 그것들 사이의 관계로부터 기인한다.
일반적으로 마르크스의 정의를 따라 이윤율을 정의하면 다음과 같다.
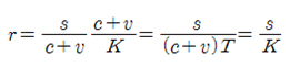
여기서 r은 이윤율, s는 잉여가치, c는 불변자본, v는 가변자본이다. 게다가 e 착취율이고, k 자본구성이다. 많이 알고 있는 유기적 구성 c/v=(1-k)/k 로 해석될 수 있다. 따라서 <자본> 3권에서 말하고 있는 바와 같이 이윤율은 잉여가치율을 측정하는 또 다른 방식이며, 이는 총자본의 비율로서 측정되는 것이다. <자본> 3권에서 마르크스는 비용가격에 대한 설명하면서, 유동자본과 생산 과정에서 소비된 고정자본 비중을 모두 고려해야함을 이야기하고 있는데, 이것이 자본스톡 대비 이윤 비중을 추정치로 삼는 모든 경험 연구에 대한 비판이다. 하지만 이는 자본의 회전율, T를 고려할 때 의미가 없다. 즉 회전율을 고려하면, (c+v)T=K 이다.
우리가 고려하는 자본스톡 K 대비 이윤의 비율은 한 회의 이윤율을 고려하는 것이 아니라 분기, 월, 또는 연간 평균 수익성(경제전체, 또는 부문, 경제활동별)을 가리킨다. 즉 경제활동의 현실적 매개변수인 회전율 T를 매개로 하여 표현되는 것이다. 우리가 경제전체의 순부가가치를 Y, 노동자에 대한 보수를 wY이라고 한다면,
위에서 w는 순부가가치 중에서 노동자에 대한 보수가 차지하는 비중 임금 몫이며, 자본생산성 Pk 는 자본 K 대비 순부가가치 Y의 비율인 Y/K을 의미한다.
이윤율 분석에 대한 우리의 경험적 연구는 바로 여기서부터 시작한다. 이 노트는 던컨 폴리의 <아담의 오류>와 Understanding Capital, Harvard University Press, 1986, 그리고 Daniele Tavani, Time Series of the Profit Rates in G7 countries, http://lamar.colostate.edu/~dtavani/tpr.pdf 에도 반복되니 관심 있는 독자들은 찾아보길 바란다.
각주
1) 단위근 검정에 경향을 넣어서 추정하던, 어떤 식으로 하든 클라이먼 데이터에서는 단위근을 가진다는 가설이 기각된다. 잘알려진 Augmented Dickey-Fuller test와 Phillips-Perron test를 실시하였다. 이보다 더 복잡한 검정, 즉 구조적 단절을 가정하는 테스트를 해볼 수 있는데 대체로 이런 복잡한 검정은 단위근이 없는 데이터가 단위근을 가진다고 평가될 때 시행하는 것으로 이런 복잡한 검정을 하더라도 별 변화가 없음을 쉽게 짐작할 수 있다.
2) 조반니 아리기는 마지막 유작에서 이 로버트 브레너의 입장을 자신의 틀과 오히려 결합시키고 있다.
3) 여기서 언급된 앤드루 클라이먼이나 조반니 아리기, 로버트 브레너의 작업 모두 우리나라에 소개되어 있기 때문에 그들의 이론적 기여와 이번 위기에 대한 관점 전반을 알기 위해선 직접 읽어보고 판단하는 것 이외에 방법이 없다.
4) 독자들이 이 변수들을 계산해내기 위해서는 미국경제의 NIPA 데이터와 Flow of Funds 데이터를 결합적으로 고려해야만 한다. 단순히 여기서는 자본스톡을 집어넣어서만 유추한 것은 아님에 주의하자.






